[ No I ] Freedom and liberty
BITCOIN WHITEPAPER
A purely peer-to-peer version of electronic cash would allow online payments to be sent directly from one party to another without going through a financial institution.The network timestamps transactions by hashing them into an ongoing chain of hash-based proof-of-work, forming a record that cannot be changed without redoing the proof-of-work. The longest chain not only serves as proof of the sequence of events witnessed, but proof that it came from the largest pool of CPU power. As long as a majority of CPU power is controlled by nodes that are not cooperating to attack the network, they'll generate the longest chain and outpace attackers.The network itself requires minimal structure. Messages are broadcast on a best effort basis, and nodes can leave and rejoin the network at will, accepting the longest proof-of-work chain as proof of what happened while they were gone.
liberty
Bitcoin
31 October 2008
1. INTRODUCTION
Commerce on the Internet has come to rely almost exclusively on financial institutions serving as
trusted third parties to process electronic payments. While the system works well enough for
most transactions, it still suffers from the inherent weaknesses of the trust based model.
Completely non-reversible transactions are not really possible, since financial institutions cannot
avoid mediating disputes. The cost of mediation increases transaction costs, limiting the
minimum practical transaction size and cutting off the possibility for small casual transactions,
and there is a broader cost in the loss of ability to make non-reversible payments for nonreversible services. With the possibility of reversal, the need for trust spreads. Merchants must
be wary of their customers, hassling them for more information than they would otherwise need.
A certain percentage of fraud is accepted as unavoidable. These costs and payment uncertainties
can be avoided in person by using physical currency, but no mechanism exists to make payments
over a communications channel without a trusted party.
what is needed is an electronic payment system based on cryptographic proof instead of trust, allowing any two willing parties to transact directly with each other without the need for a trusted third party. Transactions that are computationally impractical to reverse would protect sellers from fraud, and routine escrow mechanisms could easily be implemented to protect buyers. In this paper, we propose a solution to the double-spending problem using a peer-to-peer distributed timestamp server to generate computational proof of the chronological order of transactions. The system is secure as long as honest nodes collectively control more CPU power than any cooperating group of attacker nodes.
2. Transactions
We define an electronic coin as a chain of digital signatures. Each owner transfers the coin to the
next by digitally signing a hash of the previous transaction and the public key of the next owner
and adding these to the end of the coin. A payee can verify the signatures to verify the chain of
ownership.

The problem of course is the payee can’t verify that one of the owners did not double-spend the coin. A common solution is to introduce a trusted central authority, or mint, that checks every transaction for double spending. After each transaction, the coin must be returned to the mint to issue a new coin, and only coins issued directly from the mint are trusted not to be double-spent. The problem with this solution is that the fate of the entire money system depends on the company running the mint, with every transaction having to go through them, just like a bank. We need a way for the payee to know that the previous owners did not sign any earlier transactions. For our purposes, the earliest transaction is the one that counts, so we don’t care about later attempts to double-spend. The only way to confirm the absence of a transaction is to be aware of all transactions. In the mint based model, the mint was aware of all transactions and decided which arrived first. To accomplish this without a trusted party, transactions must be publicly announced [1], and we need a system for participants to agree on a single history of the order in which they were received. The payee needs proof that at the time of each transaction, the majority of nodes agreed it was the first received.
3. Timestamp Server
The solution we propose begins with a timestamp server. A timestamp server works by taking a hash of a block of items to be timestamped and widely publishing the hash, such as in a newspaper or Usenet post [2-5]. The timestamp proves that the data must have existed at the time, obviously, in order to get into the hash. Each timestamp includes the previous timestamp in its hash, forming a chain, with each additional timestamp reinforcing the ones before it.

4. Proof-of-Work
To implement a distributed timestamp server on a peer-to-peer basis, we will need to use a proofof-work system similar to Adam Back’s Hashcash [6], rather than newspaper or Usenet posts. The proof-of-work involves scanning for a value that when hashed, such as with SHA-256, the hash begins with a number of zero bits. The average work required is exponential in the number of zero bits required and can be verified by executing a single hash. For our timestamp network, we implement the proof-of-work by incrementing a nonce in the block until a value is found that gives the block’s hash the required zero bits. Once the CPU effort has been expended to make it satisfy the proof-of-work, the block cannot be changed without redoing the work. As later blocks are chained after it, the work to change the block
would include redoing all the blocks after it.
The proof-of-work also solves the problem of determining representation in majority decision making. If the majority were based on one-IP-address-one-vote, it could be subverted by anyone able to allocate many IPs. Proof-of-work is essentially one-CPU-one-vote. The majority decision is represented by the longest chain, which has the greatest proof-of-work effort invested in it. If a majority of CPU power is controlled by honest nodes, the honest chain will grow the fastest and outpace any competing chains. To modify a past block, an attacker would have to redo the proof-of-work of the block and all blocks after it and then catch up with and surpass the work of the honest nodes. We will show later that the probability of a slower attacker catching up diminishes exponentially as subsequent blocks are added. To compensate for increasing hardware speed and varying interest in running nodes over time, the proof-of-work difficulty is determined by a moving average targeting an average number of blocks per hour. If they’re generated too fast, the difficulty increases.
5. Network
The steps to run the network are as follows:
1) New transactions are broadcast to all nodes.
2) Each node collects new transactions into a block.
3) Each node works on finding a difficult proof-of-work for its block.
4) When a node finds a proof-of-work, it broadcasts the block to all nodes.
5) Nodes accept the block only if all transactions in it are valid and not already spent.
6) Nodes express their acceptance of the block by working on creating the next block in the
chain, using the hash of the accepted block as the previous hash.
Nodes always consider the longest chain to be the correct one and will keep working on
extending it. If two nodes broadcast different versions of the next block simultaneously, some
nodes may receive one or the other first. In that case, they work on the first one they received,
but save the other branch in case it becomes longer. The tie will be broken when the next proofof-work is found and one branch becomes longer; the nodes that were working on the other
branch will then switch to the longer one.
New transaction broadcasts do not necessarily need to reach all nodes. As long as they reach many nodes, they will get into a block before long. Block broadcasts are also tolerant of dropped messages. If a node does not receive a block, it will request it when it receives the next block and realizes it missed one.
6. Incentive
By convention, the first transaction in a block is a special transaction that starts a new coin owned
by the creator of the block. This adds an incentive for nodes to support the network, and provides
a way to initially distribute coins into circulation, since there is no central authority to issue them.
The steady addition of a constant of amount of new coins is analogous to gold miners expending
resources to add gold to circulation. In our case, it is CPU time and electricity that is expended.
The incentive can also be funded with transaction fees. If the output value of a transaction is
less than its input value, the difference is a transaction fee that is added to the incentive value of
the block containing the transaction. Once a predetermined number of coins have entered
circulation, the incentive can transition entirely to transaction fees and be completely inflation
free.
The incentive may help encourage nodes to stay honest. If a greedy attacker is able to assemble more CPU power than all the honest nodes, he would have to choose between using it to defraud people by stealing back his payments, or using it to generate new coins. He ought to find it more profitable to play by the rules, such rules that favour him with more new coins than everyone else combined, than to undermine the system and the validity of his own wealth.
7. Reclaiming Disk Space
Once the latest transaction in a coin is buried under enough blocks, the spent transactions before
it can be discarded to save disk space. To facilitate this without breaking the block’s hash,
transactions are hashed in a Merkle Tree [7][2][5], with only the root included in the block’s hash.
Old blocks can then be compacted by stubbing off branches of the tree. The interior hashes do
not need to be stored.
A block header with no transactions would be about 80 bytes. If we suppose blocks are generated every 10 minutes, 80 bytes * 6 * 24 * 365 = 4.2MB per year. With computer systems typically selling with 2GB of RAM as of 2008, and Moore’s Law predicting current growth of 1.2GB per year, storage should not be a problem even if the block headers must be kept in memory.
8. Simplified Payment Verification
It is possible to verify payments without running a full network node. A user only needs to keep
a copy of the block headers of the longest proof-of-work chain, which he can get by querying
network nodes until he’s convinced he has the longest chain, and obtain the Merkle branch
linking the transaction to the block it’s timestamped in. He can’t check the transaction for
himself, but by linking it to a place in the chain, he can see that a network node has accepted it,
and blocks added after it further confirm the network has accepted it.
As such, the verification is reliable as long as honest nodes control the network, but is more vulnerable if the network is overpowered by an attacker. While network nodes can verify transactions for themselves, the simplified method can be fooled by an attacker’s fabricated transactions for as long as the attacker can continue to overpower the network. One strategy to protect against this would be to accept alerts from network nodes when they detect an invalid block, prompting the user’s software to download the full block and alerted transactions to confirm the inconsistency. Businesses that receive frequent payments will probably still want to run their own nodes for more independent security and quicker verification.
9. Combining and Splitting Value
Although it would be possible to handle coins individually, it would be unwieldy to make a
separate transaction for every cent in a transfer. To allow value to be split and combined,
transactions contain multiple inputs and outputs. Normally there will be either a single input
from a larger previous transaction or multiple inputs combining smaller amounts, and at most two
outputs: one for the payment, and one returning the change, if any, back to the sender.
It should be noted that fan-out, where a transaction depends on several transactions, and those transactions depend on many more, is not a problem here. There is never the need to extract a complete standalone copy of a transaction’s history
10. Privacy
The traditional banking model achieves a level of privacy by limiting access to information to the
parties involved and the trusted third party. The necessity to announce all transactions publicly
precludes this method, but privacy can still be maintained by breaking the flow of information in
another place: by keeping public keys anonymous. The public can see that someone is sending
an amount to someone else, but without information linking the transaction to anyone. This is
similar to the level of information released by stock exchanges, where the time and size of
individual trades, the “tape”, is made public, but without telling who the parties were.
As an additional firewall, a new key pair should be used for each transaction to keep them from being linked to a common owner. Some linking is still unavoidable with multi-input transactions, which necessarily reveal that their inputs were owned by the same owner. The risk is that if the owner of a key is revealed, linking could reveal other transactions that belonged to the same owner.
11. Calculations
We consider the scenario of an attacker trying to generate an alternate chain faster than the honest
chain. Even if this is accomplished, it does not throw the system open to arbitrary changes, such
as creating value out of thin air or taking money that never belonged to the attacker. Nodes are
not going to accept an invalid transaction as payment, and honest nodes will never accept a block
containing them. An attacker can only try to change one of his own transactions to take back
money he recently spent.
The race between the honest chain and an attacker chain can be characterized as a Binomial
Random Walk. The success event is the honest chain being extended by one block, increasing its
lead by +1, and the failure event is the attacker’s chain being extended by one block, reducing the
gap by -1.
The probability of an attacker catching up from a given deficit is analogous to a Gambler’s
Ruin problem. Suppose a gambler with unlimited credit starts at a deficit and plays potentially an
infinite number of trials to try to reach breakeven. We can calculate the probability he ever
reaches breakeven, or that an attacker ever catches up with the honest chain, as follows [8]:
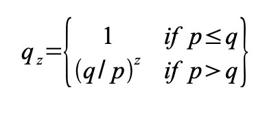
p = probability an honest node finds the next block
q = probability the attacker finds the next block
qz = probability the attacker will ever catch up from z blocks behind

To get the probability the attacker could still catch up now, we multiply the Poisson density for
each amount of progress he could have made by the probability he could catch up from that point:

Converting to C code…
Running some results, we can see the probability drop off exponentially with z.
q=0.1 z=0 P=1.0000000 z=1 P=0.2045873 z=2 P=0.0509779 z=3 P=0.0131722 z=4 P=0.0034552 z=5 P=0.0009137 z=6 P=0.0002428 z=7 P=0.0000647 z=8 P=0.0000173 z=9 P=0.0000046 z=10 P=0.0000012 q=0.3 z=0 P=1.0000000 z=5 P=0.1773523 z=10 P=0.0416605 z=15 P=0.0101008 z=20 P=0.0024804 z=25 P=0.0006132 z=30 P=0.0001522 z=35 P=0.0000379 z=40 P=0.0000095 z=45 P=0.0000024 z=50 P=0.0000006 Solving for P less than 0.1%… P < 0.001 q=0.10 z=5 q=0.15 z=8 q=0.20 z=11 q=0.25 z=15 q=0.30 z=24 q=0.35 z=41 q=0.40 z=89 q=0.45 z=340
12. Conclusion
We have proposed a system for electronic transactions without relying on trust. We started with
the usual framework of coins made from digital signatures, which provides strong control of
ownership, but is incomplete without a way to prevent double-spending. To solve this, we
proposed a peer-to-peer network using proof-of-work to record a public history of transactions
that quickly becomes computationally impractical for an attacker to change if honest nodes
control a majority of CPU power. The network is robust in its unstructured simplicity. Nodes
work all at once with little coordination. They do not need to be identified, since messages are
not routed to any particular place and only need to be delivered on a best effort basis. Nodes can
leave and rejoin the network at will, accepting the proof-of-work chain as proof of what
happened while they were gone. They vote with their CPU power, expressing their acceptance of
valid blocks by working on extending them and rejecting invalid blocks by refusing to work on
them. Any needed rules and incentives can be enforced with this consensus mechanism.
References
[1] W. Dai, “b-money,” http://www.weidai.com/bmoney.txt, 1998.
[2] H. Massias, X.S. Avila, and J.-J. Quisquater, “Design of a secure timestamping service with minimal
trust requirements,” In 20th Symposium on Information Theory in the Benelux, May 1999.
[3] S. Haber, W.S. Stornetta, “How to time-stamp a digital document,” In Journal of Cryptology, vol 3, no
2, pages 99-111, 1991.
[4] D. Bayer, S. Haber, W.S. Stornetta, “Improving the efficiency and reliability of digital time-stamping,”
In Sequences II: Methods in Communication, Security and Computer Science, pages 329-334, 1993.
[5] S. Haber, W.S. Stornetta, “Secure names for bit-strings,” In Proceedings of the 4th ACM Conference
on Computer and Communications Security, pages 28-35, April 1997.
[6] A. Back, “Hashcash - a denial of service counter-measure,”
http://www.hashcash.org/papers/hashcash.pdf, 2002.
[7] R.C. Merkle, “Protocols for public key cryptosystems,” In Proc. 1980 Symposium on Security and
Privacy, IEEE Computer Society, pages 122-133, April 1980.
[8] W. Feller, “An introduction to probability theory and its applications,” 1957.
by Satoshi Nakamoto